Suma y resta de polinomios
¡Hola! ¿Estás preparado/a para una nueva lección de matemáticas? Como sabemos que ya tienes práctica en operaciones matemáticas, en fracciones, en geometría y en temas relacionados con el análisis y representación de datos, es por eso por lo que en la clase de matemáticas de hoy queremos enseñarte lo fundamental sobre suma y resta de polinomios. No esperemos más y demos comienzo.

Primero lo primero, ¿Qué son los polinomios?
Para entender la suma y resta de polinomios es fundamental entender el concepto. Los polinomios son, entonces, expresiones algebraicas que se conforman por varios términos. A los polinomios los pueden integrar más de una constante, variable y exponente. Los términos se relacionan a partir de sumas, restas y multiplicaciones.
Los polinomios se agrupan de acuerdo a la cantidad de términos. Por ejemplos:
- Monomio o polinomio de un término: 2xy.
- Binomio o polinomio de dos términos: 2xy + 8y.
- Trinomio o polinomio de tres términos: 2xy + 8y - 5.
Suma y resta de polinomios: Paso a paso
Suma de polinomios
Para saber cómo sumar polinomios es fundamental que las variables y exponentes estén ordenados.
Partiremos del siguiente ejemplo:

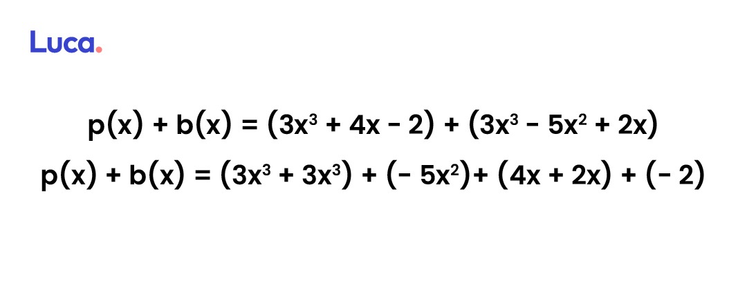
El primer paso consiste en ordenar los polinomios de mayor a menor.

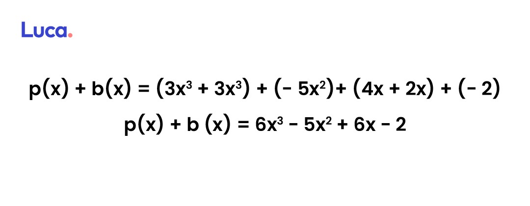
Ahora se deberán agrupar los monomios con el mismo grado.

Finalmente, se procede a sumar los monomios semejantes.

Otra forma de sumar polinomios consiste en acomodar los términos de mayor a menor y ubicarlos en columnas. Luego se realiza la suma. Por ejemplo:

¡Regístrate GRATIS en nuestra plataforma educativa para maestros! 🖱️👆
Cómo restar polinomios
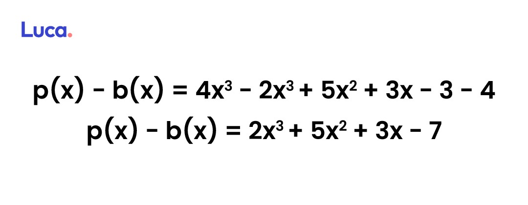
Para restar polinomios se deberá sumar al minuendo el opuesto del sustraendo.

Primero se debe obtener el sustraendo de b(x). Esto se hará resolviendo ese paréntesis.

Se agrupan los términos semejantes.

Se operan elementos similares.

Ya has aprendido lo fundamental de la suma y resta de polinomios. El paso siguiente es seguir practicando todos los días, con ejercicios más complejos a medida que avanzas. Además, en la escuela contarás no solo con la ayuda de tus maestros, sino también con la que ofrece Luca. Nosotros somos una plataforma educativa para colegios que, a través del microlearning, busca brindar contenido actualizado a maestros y estudiantes, mejorando la calidad del aprendizaje. ¡Conócenos aquí!

Otras clases relacionadas
Área y perímetro, ¿Qué son y cómo obtenerlos?Problemas de multiplicación: Bases y estrategias para resolverlosSuma de números decimalesProblemas aditivos para primaria y secundariaTipos de cuadriláteros y sus característicasTabla de datos: cómo se hace una tabla de resultadosNotación desarrollada de un número: Definición y ejemplos¿Qué es el valor posicional de un número?Análisis y representación de datos